SECOND - PAPER TASK
WATER, SOLUTION AND BUFFER
Referensi;
1. Biochemical Calculation
2. Biochemistry & Genetics - Pretest Self-Assessment & Review
Tugas .
Selesaikan problem dibawah
a. Berapa gram NaOH(s) yang dibutuhkan untuk membuat 250 mL larutan 0,04 M. Tentukan konsentrasi dari larutan ini dalam satuan N, g/Liter, mg% dan osmolaritas.
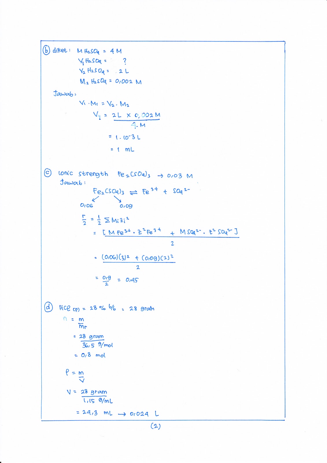
b. Berapa mL 4 M H2SO4 yang dibutuhkan untuk membuat 2 L larutan H2SO4 0,002 M.
c. Tentukan kekuatan ion (ionic strength) dari 0.03M larutan Fe2(SO4)3
d. Saudara diberi HCl pekat (28% b/b), Specific gravity =1.15). Buatlah 2 Liter larutan 0,5 M HCl dari HClpekat yang saudara punyai.
e. Hitung 1. Molalitas dari HCl pekat (28% b/b), Specific gravity =1.15), 2. Hitung fraksi mol didalam larutan.
f. Spesifik volume dari amonimum sulfat (solid) adalah 0,565 mL/g. Kelarutan ammonium sulfat pada 0⁰C adalah 706 g/1000g air. Hitung (a) konsentrasi ammonium sulfat didalam larutan jenuh pada 0⁰C dan (b) jumlah ammonium sulfat yang harus ditambahkan pada 0⁰C kedalam 750 mL dari larutan “40%-jenuh” untuk membuat nya 60%-jenuh).
g. Berapa mililiter dari larutan ammonium sulfat jenuh yang harus ditambahkan kedalam 40 mL larutan 25% jenuh untuk membuat larutan 70% jenuh?. Dianggap bahwa volumenya bertambah.
107. Water, which constitutes 70% of body weight, may be said to be the “cell solvent.” Which of the following properties of water most contributes to its ability to dissolve compounds? a. Strong covalent bond formed between water and salts
b. Hydrogen bond formed between water and biochemical molecules
c. Hydrophobic bond formed between water and long-chain fatty acids
d. Absence of interacting forces
e. Fact that the freezing point of water is much lower than body temperature
97. A solution of acid is prepared for cleaning surgical instruments by
adding 0.5 L of 2 mM hydrochloric acid (HCl) to 0.5 L of pure water,
which has a hydrogen ion concentration of 10−7 M. The initial pH of the
pure water, then the pH after adding the HCl, are
a. 7, then 3
b. 7, then 4
c. 7, then 1
d. 14, then 3
e. 14, then 4
98. The greatest buffering capacity at physiologic pH would be provided
by a protein rich in which of the following amino acids?
a. Lysine
b. Histidine
c. Aspartic acid
d. Valine
e. Leucine
99. The relationship between the ratio of acid to base in a solution and its
pH is described by the Henderson-Hasselbalch equation
pH = pK + log [base]/[acid]
The pK of acetic acid is 4.8. What is the approximate pH of an acetate solution
containing 0.2 M acetic acid and 2 M acetate ion?
a. 0.48
b. 4.8
c. 5.8
d. 6.8
e. 10.8
100. Since the pK values for aspartic acid are 2.0, 3.9, and 10.0, it follows
that the isoelectric point (pI ) is
a. 3.0
b. 3.9
c. 5.9
d. 6.0
e. 7.0
101. A 0.22 M solution of lactic acid (pKa 3.9) is found to contain 0.20 M
in the dissociated form and 0.02 M undissociated. What is the pH of the
solution?
a. 2.9
b. 3.3
c. 3.9
d. 4.9
e. 5.4
102. Which of the combinations of laboratory results below indicates compensated metabolic alkalosis?
a. Low PCO2, normal bicarbonate, high pH
b. Low PCO2, low bicarbonate, low pH
c. Normal PCO2, low bicarbonate, low pH
d. High PCO2, normal bicarbonate, low pH
e. High PCO2, high bicarbonate, high pH
103. The graph below shows a titration curve of a common biochemical
compound. Which of the following statements about the graph is true?
a. The compound has one ionizable function
b. The compound has three ionizable side chains
c. The maximum buffering capacity of the compound is represented by points A
and B on the graph
d. Point A could represent the range of ionization of an amino function
e. Points A and B represent the respective pKs of รก and side chain carboxyl groups
104. The pH of body fluids is stabilized by buffer systems. Which of the
following compounds is the most effective buffer at physiologic pH?
a. Na2HPO4, pKa5 12.32
b. NH4OH, pKa5 9.24
c. NaH2PO4, pKa5 7.21
d. CH3CO2H, pKa5 4.74
e. Citric acid, pKa5 3.09
105. Water, which constitutes 70% of body weight, may be said to be the
“cell solvent.” The property of water that most contributes to its ability to
dissolve compounds is the
a. Strong covalent bond formed between water and salts
b. Hydrogen bond formed between water and biochemical molecules
c. Hydrophobic bond formed between water and long-chain fatty acids
d. Absence of interacting forces




